https://www.acmicpc.net/problem/10451

SOLUTION
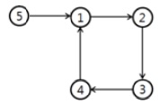
사이클이 존재할 때, 해당 사이클의 크기를 구하는 문제다. DFS(깊이 우선 탐색)를 통해 해결할 수 있다.
1) 방문 여부 확인용 visited 리스트를 만들어준다.
2) 1부터 N까지 숫자를 돌아가면서 해당 숫자의 목적지를 visit해준다.
3-1) 방문한 숫자의 다음 숫자도 방문하지 않았다면 visit한다.
3-2) 방문했다면 result에 1을 더한 뒤 탈출한다.
해당 문제는 순열에 관한 것이기에

위와 같은 순회하지 않는 input은 들어오지 않는다.
따라서 무조건 순회한다는 가정하에 푼다.
PYTHON CODE
import sys
sys.setrecursionlimit(2000) #최대 재귀를 늘려줘야 런타임 에러를 피할 수 있다
def dfs(x): #DFS 함수 정의
visited[x] = True #방문 체크
number = numbers[x] #다음 방문 장소
if not visited[number]: #방문하지 않았다면
dfs(number) #재귀
for _ in range(int(input())):
N = int(input())
numbers = [0] + list(map(int, input().split()))
visited = [True] + [False] * N #방문여부확인용
result = 0
for i in range(1, N+1):
if not visited[i]: #방문하지 않았다면
dfs(i) #DFS실행
result += 1 #결과값 += 1
print(result)
'Programming [Python] > 백준 알고리즘 솔루션' 카테고리의 다른 글
| #383 백준 파이썬 [17618] 신기한 수 (0) | 2020.01.29 |
|---|---|
| #382 백준 파이썬 [9466] 텀 프로젝트 - DFS (0) | 2020.01.29 |
| #380 백준 파이썬 [2210] 숫자판 점프 - DFS (0) | 2020.01.29 |
| #379 백준 파이썬 [15829] Hashing (0) | 2020.01.26 |
| #378 백준 파이썬 [15792] A/B - 2 (0) | 2020.01.23 |